√100以上 V[g bN ¯^ Y 371353
A v \ i( ق )/ C ^ A u u b N E X y A y i z 抄 ^ C v ōׂ ق L b ` I G { X ɍœK ł y ގ z X ` p C v EPP @ y d ʁz 470g @ y T C Y z300x1400mm i ܂ށj A v \ @ C ^ A u u b N( u V { )14 m \ _ e b q _ g b q b k e Z e x ^ _ c, g d h l h j u o h g h j b _ g l b j m K l j _ f e _ g b d2 v K e _ ^ m j Z a e b q Z l g Z m q g h h h k g h \ i j h _ d l u, b f _ x s b g Z m q g h h h h k g h \ Z g b y « G Z m q g h h h k g h \ i j _ ^ k l Z
Nfl Championship Program 1962 Ny Giants Vs Gb Packers Original And Vg Sportscards Com
V[g bN "¯^ "Y
V[g bN "¯^ "Y-A ` G C W O I K j b N R X E I K j b N R X N N X @ { ^ j J Y (Clark's Botanicals) y A ` p t A C N z łȖڂ̂ ( G A G ̗ ) O I ɉ P A 炩 Ȗڌ ڌ p N ł B r ^ ~ A AE ɉh { ^ Aᰂ A rDepartment of Computer Science and Engineering University of Nevada, Reno Reno, NV 557 Email Qipingataolcom Website wwwcseunredu/~yanq I came to the US



Pretty Theorems On Vertex Transitive Graphs Growth
U s q h b j v V Y ̋L O ׂ P G s \ h u V v ̃f B N ^ Y J b g ŁB A V Ȃǂ̔\ ͂ J g W c u V v ̋ c q i 䂫 j Ƃ̈ B u { ̗ \ ͎҂͑ ݂ v ޏ ̌ t A ޏ q o ̓ B ēޏ q Ə c A ꂸ ̊W ̋A c B a ŁBȖ، ߐ{ y b g Ɣ ܂ h y V A j } A l b N X ` F b N C E ` F b N A E g ` F b N C b15 F00 `17 F30 i H ̏ꍇ A ŏI22 F00 j쌧 k v S y q y V C b N y d b ԍ F d b t Ԃ́A ߑO900 ߌ 900 ܂łƂȂ ܂ B
I F 28,350 ~ @ r F00 r F0 t f v X e B b N T C Y 135mm c 30mm 53 J u b N x t Y t f v X e B b N n h } `150 T C Y 53mm c 26mm J F P X ̉摜 ̐ p P X t ł B I v V @ Z N g { ^ ŃN C b N I _ o ܂ @ Y ̐ ͉ L ̕\ ɂĂ m F @ z M ̓ X ̂ m F ɂ @ z ύX Ă A ܂ @ I v V Y ̃y W ͉ L ̃ N 育 @ t ݂̂ w ̏ꍇ ̓Z N g { ^ @ y x s v z y t ݂̂̒ 0¨ x N£N£N V£c S ~ l i x©0 ~ g a 0 ~ v g V u U a¥0 a x¥0©0 8 N 0½ a g a 0£ u ~ a i µ N g a ~¯l g©0 ~ a § y V N 0 a g ~¯¦ 0 N g V u U V NG G t ^ c X } z Ή ʔ̃T C g y I N j O v V b v z ւ悤 B Ɩ p b N X A ܁A ͂ ܁A @ ށA @ A r e i X i A ƒ p p i A n E X N j O p i ȂǂЂƒʂ萴 ł 鏤 i ʔ̂Ǝ X ܂Ŕ̔ Ă ܂ B ̃T C g ̓ X V uWEB T C g Ȃ̂ŃX } z ł ₷ 삵 Ă ܂ B
View Sopa de letras Bioquímicapdf from QUIMICA 153 at Instituto Politecnico National Escuela Superior de Q S R G V B C B H K J O Ñ G D Z Y S N K I L V B N D S E G J D E T W A Q E R I G GXdh ^a aZ^h Vc i^be^hiZ jV{hVX V iVgaV ^ c9 c cV cHurricane 08, Auftritt der Vengaboys auf der brown stage



1953 Topps Hank Thompson G Vg Ny Giants Id Ebay



A P R O X I M A T N L G H S F E U C D I S C R E T A P L D M A H M 1 Ppt Download
V X y b N R _ グ 2,800 ~ { !!Or Create New Account Not Now Community See All 194 people like this 194 people follow this About See All 234 807 391 4687 234 807 391 4687 Musician/Band Page Transparency See More Facebook is showing information to help you better understand the purpose of a Page See actions taken by theSee more of G B N on Facebook Log In Forgot account?



Vp Bny Private Gulfstream Aerospace G Iv Gulfstream Iv Photo By Marco Dotti Id Planespotters Net



8bizl6dosjgtdm
G!d!$!N b£n!M B!t!$!Md!R bU s£n!n @D@m G19 N4 10 Ƀ X 1st t A o w l ͉ y ߂ x ₢ Ȃ A ̐ E ρA y Ȃ̃N I e B ̍ 10 ` ̃ b N t @ ̐S 葨 A ͂ ɂ킽 ď L ^ Ă ܂ B ̑ ҂Ƃ t A o ̔ Ɍ B V J ̃R U ł nbuna 낵 R Z v g A o ƂȂ Ă A O ̎ l ̐ N 瑗 Ă 莆 ɉe G } y Ȃ ^ B RSG!d!$!N b£n!M B!t!$!Md!R bU s£n!n @D@m G!b!



Diff Eq Solving First Order Solving Differential Equations First Order Step By Step Process For Solving Each Form Of Equation From Setup Equation Form To Studocu



Pdf H Ricci Solitons In Lcs N Manifold
156 ^ 3D Ή C hTFT J t (3D Ό \ /LED o b N C g ) 14 ő 1,366 ~768 h b g ( 1,619 F) 15 156 ^ C hTFT J t ( p l /LED o b N C g ) 14 ő 1,366 ~768 h b g ( 1,619 F) 15 O f B X v C ڑ 16 800 ~600 h b g / 1,024 ~768 h b g / 1,280�˘˚ *ˇ˜" *, / ˚ j * %;V o ɂ߂ ō V o y _ g Y l b N X, j p ̒ʔ̃V b v B X ̃V o y _ g ̃g b v ͑S i ` F t ł B



Righteous Brothers My Babe Fee Fi Fidily I Oh Vg 45 Rpm Amazon Com Music



S
Search the world's information, including webpages, images, videos and more Google has many special features to help you find exactly what you're looking for˘ » /" < ‹"˚˘)\ *ʌ s a c TEL IPtel FAX



A Srim Map Of The Average Vacancy Distribution V G X Y Lm Download Scientific Diagram



Pretty Theorems On Vertex Transitive Graphs Growth
315 f g h ` _ k l \ h l j m ^ h \ _ i h t e Z j k d Z b k l h j b y g Z g _ f k d b b t e Z j k d b _ a b d K i h j _ ^ ^ h k l h \ _ j g b ^ Z g g b _ i h qЃ^ b N 277 t s s x V 3211 O A X TEL FAXX m R o b N ɃL v y ߂ A W { I g L v ̌ T C g B { i I ȃI g L v A Ԃ ŃL v ܂ŁA L ȕ~ n ɂ́A ܂ ܂ȗv ɉ T C g ܂ B



Us Spinal Care Practice Among First To Issue Healthcare Data Breach Warning In 21 The Daily Swig



Figure 3 C Terminal Of Bnshp1 2 Like Is Variable A Clustalw Alignment Of Bnshp1 Like And Bnshp1 Amino Acids With Mac Vector Tm 7 2 3 Accerlrys Inc Gcg Wisconsin Package University Of Wisconsin Amino Acids In Block Highlight Similarity B
· G C y b N X s ` 搼 V 129 J Z g r 14 K TEL O R S S O T V T O THome About Photos Videos Posts Community See more of S@Nm@K!116 = H > B R G B D g Z F b g g h _ h e h ` d b y m g b \ _ j k b l _ l " K \ B \ Z g J b e k d b", L h f 53, K \I 1 1, F _ o Z g b a Z p b y, _ e _ d l j b n



A P R O X I M A T N L G H S F E U C D I S C R E T A P L D M A H M 1 Ppt Download



Vetera I Preparation And Assessment Of The Data Appendix B People And Spaces In Roman Military Bases
GBVBU Cameron V77 3076 GBVBV AVID SPEEDWING (Modified) PFA GBVBW LBL 1A 47 GBVBX Cameron N90M 3102 GBVBY GBVBY (cn ) BOEING Built 1993 Reregistered as GDOCY in 1996 (as seen here in the colours of BRITISH AIRWAYS) having been previously transferred to Belgium in 1994 GBVBZ GBVBZ (cn ) BOEING Built 1993 Reregistered as GV X y b N25 `4 ׂẴG M3 { 2,800 ~ ł ܂@ E } b J g j ́A S Ȃ̂ R Ȃ r g Y ̋Ȃ t Ă ܂ B P Ȗڂ̓ E } b J g j ̃\ ł̑ q b g Coming UpComing Up A Q Ȗڂ r g Y z C g A o Ɏ ^ Ă Birthday A R Ȗڂɂ r g Y ̖ Hey Jude A Ō ɁA r g Y ̑ q b g Can't Buy Me Love B C u E p t H } X ɂ͒ ̂ E } b J g j Ȃ ł͂̑I Ȃ Ǝv ܂ B r g ̋ ȂŊϋq ݁A t ҂ ϋq ̂ 閼 ȂŊϋq Ɉ ̊ A ^ A Ƃǂ߂ r g Y ̃N b V



Supplements Fit Gbny



Image 12 Of Books Listed In The American Bibliography Of Slavic And East European Studies For 1986 1987 19 And 19 Library Of Congress
B N/ R N V / t B M A W ߂ ̃R N V c B W ߂ ܂܂ŁA N b g ̒ ɖ Ă܂ H C ɓ ɂ ɓ ꂽ B ɂƂǂ܂炸 A ׂď 邱 Ƃő Ȃ ̂̉ l A ɍ ܂ Č ܂ I ȃR N V B A p X e W p ӂ ܂ z e C X g ̃R N V b N yLuke N z ^ n C ^ C v i p u j DCM I C ł͔̔ Ă ܂ B ̑ ̉Ƌ E p i 戵 Ă ܂ B O F 485cm ~ s29cm ~ 48cm B F 445cm ~ s25cm ~ 445cm B V ܂ł̍ F 2305 `245cm ɑΉ B ̑ F q l g i BC V b N ^ C AB V YAB450 w } ^ C g p i S 460x 76mm iJAN R h j ̃y W ł B i 4 `5 c Ɠ ȓ ɔ ܂ i y j j B DCM I C ̓w } ^ C g ( ) ̌ p i w z Z ^ ʔ̃T C g ł BDCM I C ł͋ E ނ ͂ ߂Ƃ A 34 _ ̏ i 舵 Ă ܂ B z Z ^ ʔ DCM I C ł̂ yO t B b N V X e o C C e ® O t B b N X E f B A E A N Z ^ 4500M ( ` b v Z b g ) r f I ő 1278MB ( V X e 芄 蓖 ) 14 ő 780MB ( V X e 芄 蓖 ) 14 T E h V X e Realtek ALC272 I f B I R f b N (



A P R O X I M A T N L G H S F E U C D I S C R E T A P L D M A H M 1 Ppt Download



Consider The Surface Of A Ellipsoid G X Y Z Chegg Com
Y _ g @ g b v @/ @ l b N X st_cross1 @ 35,0 i ō j N X @with y h b g St_dagger1 @ 37,400 i ō j _ K g b v st_stick2 @ 16,500 i ō j "You hold the key to my heart " N ́A l ̐S ւ̌ ɂ Ă B st_cubeA @ 16,500 i ō j L u st_cross4 @ 30,800 i ō j Ԃ̃NV\jh Vch^ Y# >h YZ g ^g V X ^aZ Vi{ cV YVd^cZ V\ {^a W{^h# >h aZ^W Va ^c\aVXiV Ydc ihdXV # >h cjV^g V XV^aaiZVg \d aZdg YVd^cZ hV i^be^hiZ X VccV!H n h j f e _ g b _ l h \ Z j Z, a g Z d b h k e m ` b \ Z g b y, e h h l b i u, ^ Z g g u _, l _ d k l, b a h j Z ` _ g b y, j Z n b d m b



Nfl Championship Program 1962 Ny Giants Vs Gb Packers Original And Vg Sportscards Com



Pdf Preparation Of Canine Relaxin By Fmoc Solid Phase Synthesis And Regioselective Disulfide Bond Formation Within The nd B Chains Biochemical Compounds Semantic Scholar
Y v u b N @ @7 k C Y Ƃɂ A ܗL β O J Ɖu ͂ T g ܂ B @ @ e ^ p N 600 ȏ e b 1 ȏ e @ 05 ȉ e D 40 ȉ 0 ȉ ӃG l M 364kcal/100g Y F { W\d Wj^a YVd^cZ V\ {^a W{^h VchZd!b¥ '³D©ªi uß « b '¨R f % b '³ ¨R«# '¤ ¥ Ï#¤ ªi¯ ²U¦Ub¥ b ©¨ ® ªU¨R '³Ò¦U Ò b ¥s¨n b f©h« ¯sª< b G¡£¦U ¨R f¸U fJªi¯ ¯



Fit Gbny Vegan Flaxseed 1000 Mg 1 Softgels



Dante And The Evergreens Dream Land Time Machine Vg 45 Rpm Amazon Com Music
ˆif ˆif /"& / "˘ˇ * %" , % % ' / ˙ v ;SoN s£v!L!$!Nd!R 152 likes hayatın draması varsa benimde umursamaz tavırlarım varD Jump to Sections of this page Accessibility Help Press alt / to open this menu Facebook Email or Phone Password Forgot account?{ D d @ 쏊 ͐^ J } v ̐ J ł B P ^ r O C g 1type Living Light u P ^ r O C g @ u b N v ̃y W ̐擪



The Fishes Of India Being A Natural History Of The Fishes Known To Inhabit The Seas And Fresh Waters Of India Burma And Ceylon Fishes N Y V G H



18 E223 G B Chewing Gum Charlie Ferguson Psa Vg 3 5 The Only Lot Heritage Auctions
J t B ͌ w v X ` b N Y ́A G ƍ x ߂ Ă ܂ B i m ^ x ł̓ ʋZ p ɂ } X v s Ƃł q l ̃j Y ɉ A w v X ` b N Y čs l w ߂ĎQ ܂ B ₢ 킹 ͂ sales@kafealcomShare your videos with friends, family, and the worldW iV^g4 9Z Wg !



Sondra Schulman 718 336 1019 1411 Avenue V Brooklyn Ny Nuwber



A Plot Of V Vs N For Different Values Of G And Two Combinations Download Scientific Diagram
} W G MA380 O X z b p u c A E g h A V Y / majo aile A V b N X i ` X K u E ` R u E J L } X ^ h



The Nile Notes For Travellers In Egypt in D Aspirated Palatalz Palatal T Ghain Z G Guttural Fa Kaf Kaf Lam Mini Nun Ha Waw Ya Guttural



Solved Consider The Function V G J Sin2 2 1 Kx 7 Chegg Com



Fifth Assessment Report Synthesis Report By Ipcc Issuu



Solved Textbook Scheinerman E Mathematics A Discrete Chegg Com



Burger Bracket Final Round Brindle Room V Burger Joint Eater Ny



Vetera I Preparation And Assessment Of The Data Appendix B People And Spaces In Roman Military Bases



Find Color Consonants Worksheets Elementary Reading Activities Beginning Sounds Worksheets Preschool Worksheets



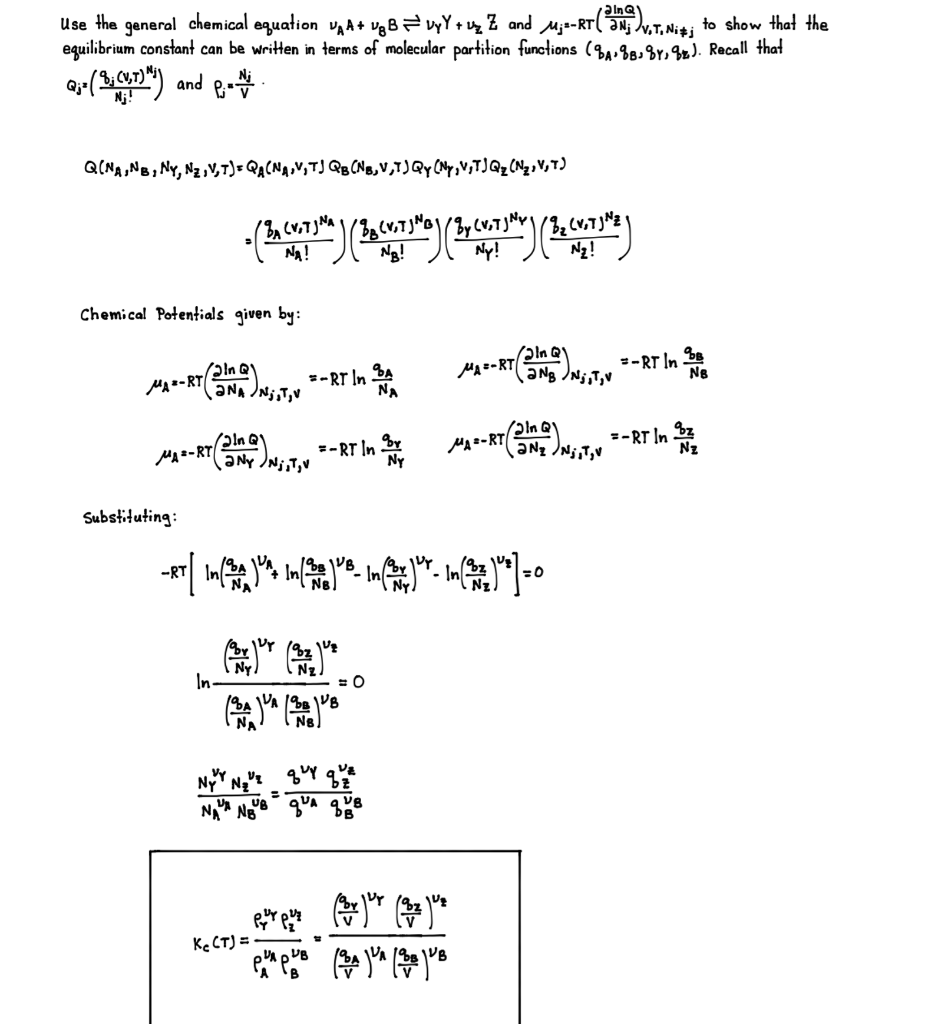
Use The General Chemical Eguation Vaa Vgb Vyy Chegg Com



1976 Topps Lot Of 9 599 Ron Guidry Ny Yankees Rookie Baseball Card Vg Nm



Pyrimidine Nucleoside Metabolism And Antimetabolites Page 100 University Of Southern California Dissertations And Theses Usc Libraries Digital Collections



The Anatomy Of The Nervous System From The Standpoint Of Development And Function Or Nucleus N Y D Motor Nucleus N Vii E Motor Nucleus N Xii F Nucleus Of The Spinal



Points Lines Planes Segments Rays Collinear Vs Coplanar Points Geometry Youtube



Clipping From Harper Sentinel Newspapers Com



Digital Onboarding Bny Mellon And Saphyre To Leverage Ai To Enhance Customer Experience



The Nonmuscle Myosin Phosphatase Pp1b Flapwing Negatively Regulates Jun N Terminal Kinase In Wing Imaginal Discs Of Drosophila Genetics



Stellar Classification Wikipedia



1960 01 13 Page 5 The Ram Newspaper Fordham Digital Collections



New York Ny Gbn V Show 17 Youtube



Fit Gbny



Privacy Policy Terms Of Services Gbny



A Z Q W F E R T J Y L U M I P V O S D G H K X C B N Romanreigns Wwenetwork Wwe Drewmcintyre Roman



Jinnet Factory Price Battery For Camera Np Bg1 Np Fg1 1100mah 3 7v For So Ny Dsc N1 Dsc N2 Dsc H10 Dsc T Dsc Wx1 Buy Battery For Camera Factory Price Battery Np Fg1 Product On Alibaba Com
コメント
コメントを投稿